메모리: 260008 KB, 시간: 780 ms
너비 우선 탐색, 데이크스트라, 그래프 이론, 그래프 탐색, 최단 경로
2024년 8월 14일 23:39:39
어떤 나라에는 1번부터 N번까지의 도시와 M개의 단방향 도로가 존재한다. 모든 도로의 거리는 1이다.
이 때 특정한 도시 X로부터 출발하여 도달할 수 있는 모든 도시 중에서, 최단 거리가 정확히 K인 모든 도시들의 번호를 출력하는 프로그램을 작성하시오. 또한 출발 도시 X에서 출발 도시 X로 가는 최단 거리는 항상 0이라고 가정한다.
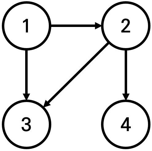
예를 들어 N=4, K=2, X=1일 때 다음과 같이 그래프가 구성되어 있다고 가정하자.

이 때 1번 도시에서 출발하여 도달할 수 있는 도시 중에서, 최단 거리가 2인 도시는 4번 도시 뿐이다. 2번과 3번 도시의 경우, 최단 거리가 1이기 때문에 출력하지 않는다.
첫째 줄에 도시의 개수 N, 도로의 개수 M, 거리 정보 K, 출발 도시의 번호 X가 주어진다. (2 ≤ N ≤ 300,000, 1 ≤ M ≤ 1,000,000, 1 ≤ K ≤ 300,000, 1 ≤ X ≤ N) 둘째 줄부터 M개의 줄에 걸쳐서 두 개의 자연수 A, B가 공백을 기준으로 구분되어 주어진다. 이는 A번 도시에서 B번 도시로 이동하는 단방향 도로가 존재한다는 의미다. (1 ≤ A, B ≤ N) 단, A와 B는 서로 다른 자연수이다.
X로부터 출발하여 도달할 수 있는 도시 중에서, 최단 거리가 K인 모든 도시의 번호를 한 줄에 하나씩 오름차순으로 출력한다.
이 때 도달할 수 있는 도시 중에서, 최단 거리가 K인 도시가 하나도 존재하지 않으면 -1을 출력한다.
풀이
간선은 단방향이며, 간선을 따라 주어진 거리정보 K 만큼 이동하여 방문할 수 있는 도시를 모두 출력하는 문제다.
여기서 조건이 하나 있는데 최단거리로 해당 도시에 방문했을 때만 방문할 수 있는 도시로 인정을 해준다.
예를 들어 B 도시에, 5의 거리로도 갈 수 있고 6의 거리로도 갈 수 있을 때,
주어진 거리정보가 6이라면 B 도시는 방문 도시에 포함을 시키지 않는 것이다. 최단 거리가 5이기 때문이다.
문제는 그냥 bfs 로 돌리면서 방문처리를 해두면 모든 노드까지의 최단 거리를 구할 수 있다.
재귀 함수 호출 횟수가 K 와 같아질 때 모든 노드를 출력해 주었다.
전체 코드
public class Main {
static int N,M,K,S;
static boolean visited[], result[];
static List<ArrayList<Integer>> edge = new ArrayList<>();
public static void main(String args[])throws IOException {
BufferedReader br = new BufferedReader(new InputStreamReader(System.in));
BufferedWriter bw = new BufferedWriter(new OutputStreamWriter(System.out));
StringTokenizer st =new StringTokenizer(br.readLine());
N = Integer.parseInt(st.nextToken());
M = Integer.parseInt(st.nextToken());
K = Integer.parseInt(st.nextToken());
S = Integer.parseInt(st.nextToken());
visited = new boolean[N+1];
result = new boolean[N+1];
for(int i = 0 ;i<=N;i++){
edge.add(new ArrayList<>());
}
for(int i = 0 ;i<M;i++){
st = new StringTokenizer(br.readLine());
int a = Integer.parseInt(st.nextToken());
int b = Integer.parseInt(st.nextToken());
edge.get(a).add(b);
}
visited[S] = true;
ArrayList<Integer> ed = new ArrayList<>();
ed.add(S);
bfs(0,ed);
int flag = 0;
for(int i =1;i<=N;i++){
if(result[i]){
bw.write(i+ "\n");
flag = 1;
}
}
if(flag == 0){
bw.write("-1");
}
bw.flush();
}
public static void bfs(int depth, ArrayList<Integer> ed) throws IOException {
if(depth == K){
for (Integer i : ed) {
result[i] = true;
}
return;
}
ArrayList<Integer> edd = new ArrayList<>();
while(!ed.isEmpty()){
Integer k = ed.get(0);
for(int i = 0;i<edge.get(k).size();i++){
int re = edge.get(k).get(i);
if(!visited[re]){
visited[re] = true;
edd.add(re);
}
}
ed.remove(0);
}
bfs(depth+1,edd);
}
}
'코딩 테스트 연습 > 백준' 카테고리의 다른 글
| 백준 14496번 그대, 그머가 되어 (java) (1) | 2024.08.16 |
|---|---|
| 백준 11123번 양 한마리... 양 두마리... (java) (1) | 2024.08.15 |
| 백준 18232번 텔레포트 정거장 (java) (1) | 2024.08.13 |
| 백준 14248번 점프 점프 (java) (0) | 2024.08.12 |
| 백준 11725번 트리의 부모 찾기 (java) (0) | 2024.08.12 |